
日前,华东师范大学社会调查中心推出《中国大学录取分数排行榜》(2016版),显示近11来,文科录取分数第一名是北京大学;清华大学为理科录取分第一;文理综合排名第一也为清华大学。
该录取分数排行是基于2005-2015年的11年间,中国各高校在各省本科第一批录取的文理科分数及人数的指标数据,由华东师范大学邝春伟副教授领衔的研究团队通过统计分析后制作完成。
值得注意的是,考虑到高校招生分数的偶然性以及招生区域的全国性情况,在过去的11年中,招生年限少于五年或者招生区域少于六个地区的高校暂不列入排名表。港澳台地区在大陆招生的高校也因此未列入排名。
综合排名前三:清华、北大、复旦
大学录取分数十一年综合总排名囊括了中国280所大学,其中清华、北大、复旦分列前三,上海交通大学、中国科学技术大学、中国人民大学、浙江大学、南京大学、北京航空航天大学、同济大学分列第四至第十。
此外,上海财经大学、南开大学、中央财经大学、对外经济贸易大学、北京外国语大学、北京师范大学、西安交通大学、上海外国语大学、天津大学、北京邮电大学分列第十一至第二十。
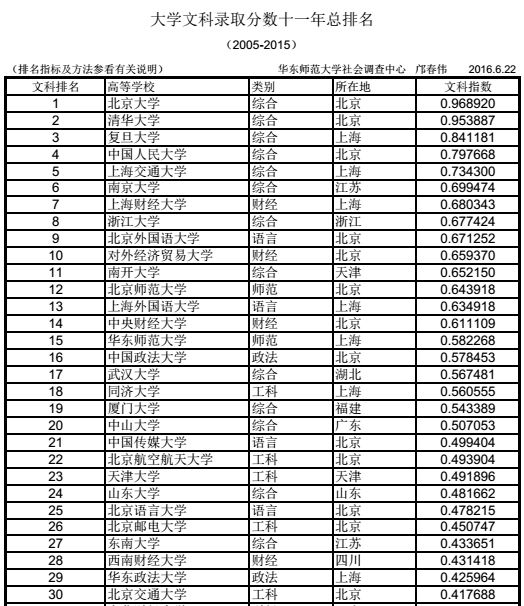
在大学文科录取分数十一年排名中,北京大学夺得榜首,清华大学、复旦大学、中国人民大学、上海交通大学、南京大学、上海财经大学、浙江大学、北京外国语大学、对外经济贸易大学分列第二至第十。
在大学理科录取分数十一年排名中,清华大学夺得榜首,北京大学、复旦大学、上海交通大学、中国人民大学、中国科学技术大学、南京大学、浙江大学、北京航空航天大学、同济大学分列第二至第十。
录取分高低与学校类别及所在地关系强烈


研究团队也表示,由于考虑了高校文理科录取人数的比例,所以即使一个学校的文科指数与理科指数都高于另外一所高校,也有可能总指数低于那所高校。“本次排名中的南京大学与浙江大学就第三次出现了这种现象”。
根据排名显示,大学录取分数的高低与学校类别有强烈关联。比如,在所有类别的院校中,财经、语言和政法类院校分列受社会与考生追捧的前3位,而农业、林业和师范类院校较受冷落。
另外,大学录取分数的高低与学校所在地高度关联,尤其是地处直辖市与沿海地区的院校更受社会及考生的追捧。其中,上海、北京、天津、江苏与浙江的高校分列前5位,而青海、贵州、河南、江西与宁夏的高校分列后5位。
但值得注意的是,这份中国大学录取分数的总排名直接反映的是高校录取分数的高低,并不一定完全反映高校综合实力的强弱。