首页 宝鸡信息 宝鸡资讯

中共蚌埠市委组织部通知!

(来源:网站编辑 2024-09-06 23:29)
文章正文

关于公布2023年度蚌埠市

公开选调公务员笔试成绩的通知

根据《2023年度蚌埠市公开选调公务员公告》等规定,现将笔试成绩予以公布(见附件)。面试、体检考察等工作事宜另行通知,请注意关注蚌埠先锋网。

中共蚌埠市委组织部

2023年10月18日

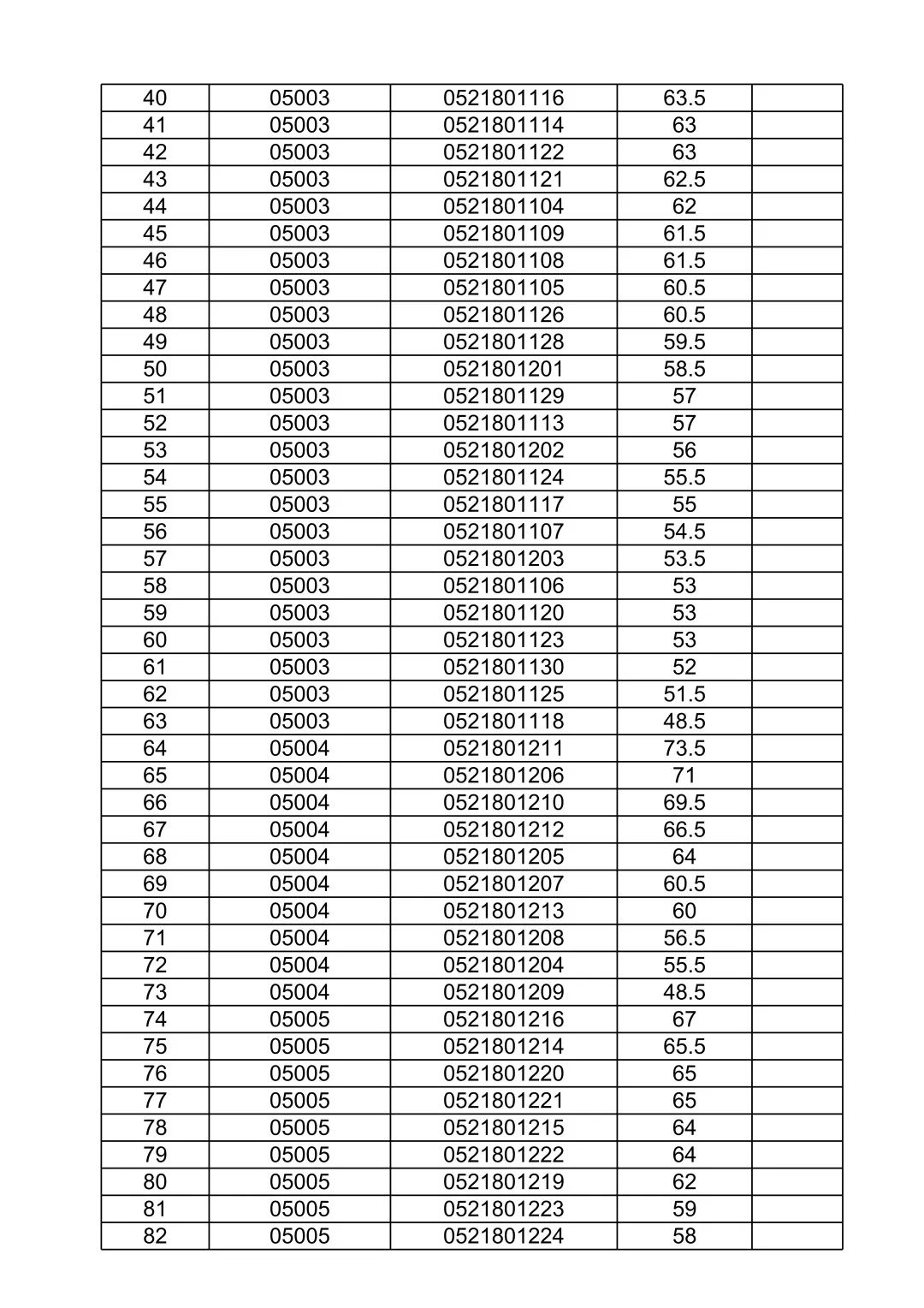
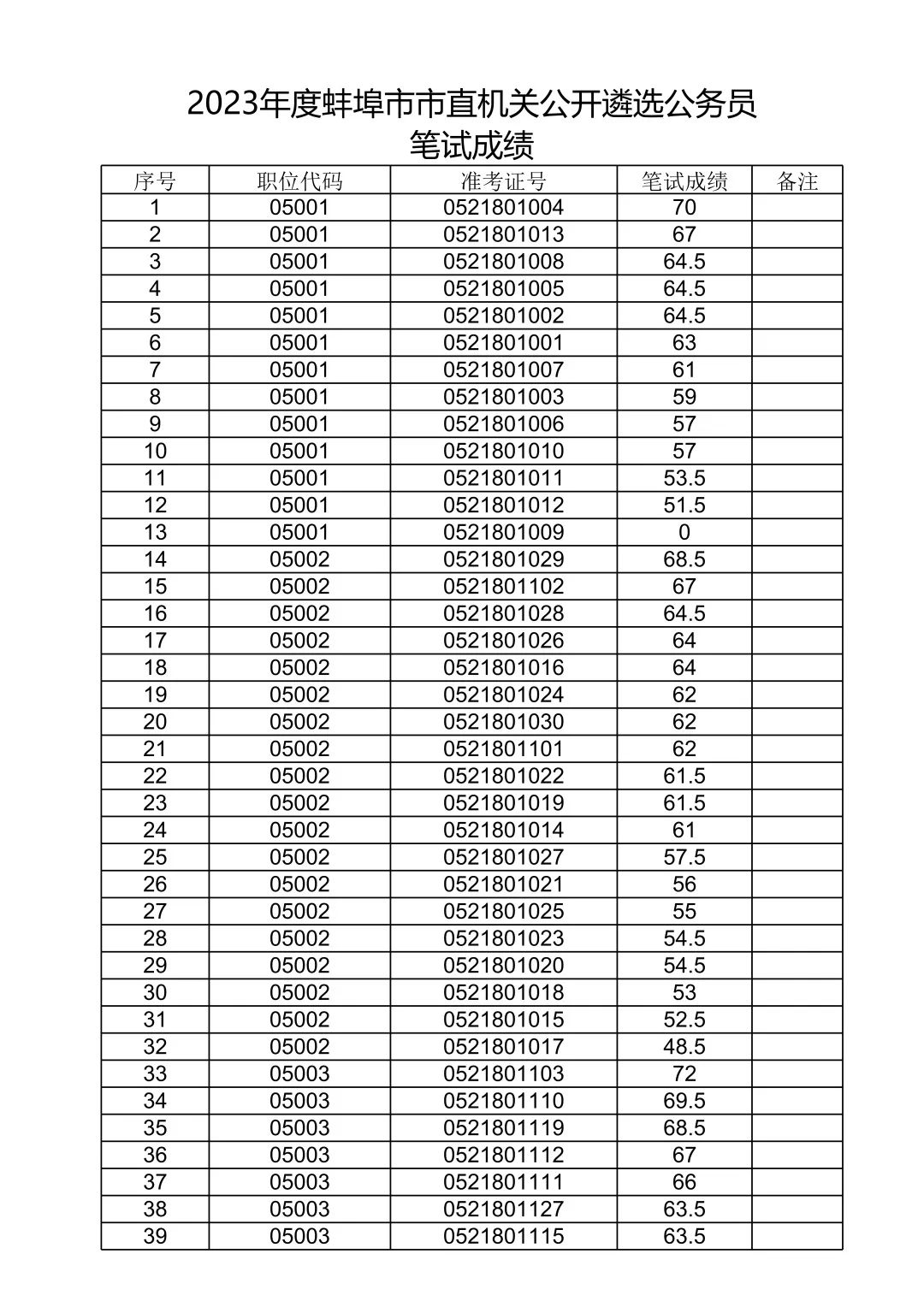
关于公布2023年度蚌埠市市直机关

公开遴选公务员笔试成绩的通知

根据《2023年度蚌埠市市直机关公开遴选公务员公告》等规定,现将笔试成绩予以公布(见附件)。资格复审、加试、面试、体检考察等工作事宜另行通知,请注意关注蚌埠先锋网。

中共蚌埠市委组织部

首页
评论
分享
Top